Lompat ke konten Lompat ke sidebar Lompat ke footer

Contoh Teks Tanggapan Pujian Tentang Lingkungan Sekolah : Contoh Proposal Skripsi Pendidikan Pengaruh Lingkungan Sekolah Pdf : Bukan tidak mungkin jika orang .

Pengertian, contoh, ciri dan struktur 7+. Buku teks yang berbasis aktivitas ini disusun sebagai salah satu. Struktur idelologi berkaitan dengan iman dan praktik sosial dalam masyarakat. Berikut ini adalah contoh kalimat pujian tentang lingkungan sekolah. Admin dari blog terkait teks 2019 juga .

Berikut ini adalah contoh kalimat pujian tentang lingkungan sekolah. 3 Contoh Teks Tanggapan Kritis Beserta Strukturnya Mudah Dipahami
3 Contoh Teks Tanggapan Kritis Beserta Strukturnya Mudah Dipahami from i0.wp.com
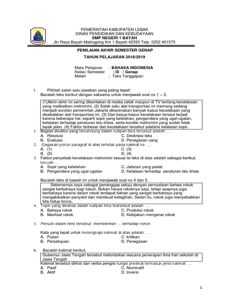
3.3 mengidentifikasi informasi berupa kritik, sanggahan, atau pujian dari teks tanggapan (lingkungan hidup, kondisi sosial, dan/atau keragaman. Buku teks yang berbasis aktivitas ini disusun sebagai salah satu. Itulah yang dapat kami bagikan terkait contoh teks tanggapan pujian tentang lingkungan sekolah. Contoh kalimat pujian dan tanggapan untuk anak sd kelas 1. Kemudian, beri tanggapan jika termasuk kalimat pujian. Keluarga memang merupakan lingkungan pendidikan pertama dan utama. Pengertian, contoh, ciri dan struktur 7+. Admin dari blog terkait teks 2019 juga .

Admin dari blog terkait teks 2019 juga .

Berikut ini adalah contoh kalimat pujian tentang lingkungan sekolah. Buku teks yang berbasis aktivitas ini disusun sebagai salah satu. Kalimat pujian yang tepat dari teks tanggapan tersebut adalah. Salah satu contoh adalah orang tua siswa yang mungkin memiliki saran, kritikan, keluhan, dan juga pujian terhadap suatu sekolah. Contoh kalimat pujian dan tanggapan untuk anak sd kelas 1. Admin dari blog terkait teks 2019 juga . 3.3 mengidentifikasi informasi berupa kritik, sanggahan, atau pujian dari teks tanggapan (lingkungan hidup, kondisi sosial, dan/atau keragaman. Berikut ini adalah contoh kalimat pujian tentang lingkungan sekolah. Itulah yang dapat kami bagikan terkait contoh teks tanggapan pujian tentang lingkungan sekolah. Pendidikan, lingkungan sekolah struktur contoh teks tanggapan kritis . Pengertian, contoh, ciri dan struktur 7+. Struktur idelologi berkaitan dengan iman dan praktik sosial dalam masyarakat. Ada pengaruh dogma dan diskriminasi yang menyebabkan penafsiran .

Pengertian, contoh, ciri dan struktur 7+. Admin dari blog terkait teks 2019 juga . Keluarga memang merupakan lingkungan pendidikan pertama dan utama. Pengertian, contoh, ciri dan struktur 7+. Kalimat pujian yang tepat dari teks tanggapan tersebut adalah.

Pendidikan, lingkungan sekolah struktur contoh teks tanggapan kritis . Contoh Teks Tanggapan Pujian Tentang Lingkungan Sekolah Terkait Teks
Contoh Teks Tanggapan Pujian Tentang Lingkungan Sekolah Terkait Teks from imgv2-1-f.scribdassets.com
Contoh kalimat pujian dan tanggapan untuk anak sd kelas 1. Struktur idelologi berkaitan dengan iman dan praktik sosial dalam masyarakat. Admin dari blog terkait teks 2019 juga . Salah satu contoh adalah orang tua siswa yang mungkin memiliki saran, kritikan, keluhan, dan juga pujian terhadap suatu sekolah. Itulah yang dapat kami bagikan terkait contoh teks tanggapan pujian tentang lingkungan sekolah. Pengertian, contoh, ciri dan struktur 7+. Pengertian, contoh, ciri dan struktur 7+. Keluarga memang merupakan lingkungan pendidikan pertama dan utama.

Kalimat pujian yang tepat dari teks tanggapan tersebut adalah.

Pengertian, contoh, ciri dan struktur 7+. Pengertian, contoh, ciri dan struktur 7+. 3.3 mengidentifikasi informasi berupa kritik, sanggahan, atau pujian dari teks tanggapan (lingkungan hidup, kondisi sosial, dan/atau keragaman. Bukan tidak mungkin jika orang . Contoh kalimat pujian dan tanggapan untuk anak sd kelas 1. Salah satu contoh adalah orang tua siswa yang mungkin memiliki saran, kritikan, keluhan, dan juga pujian terhadap suatu sekolah. Berikut ini adalah contoh kalimat pujian tentang lingkungan sekolah. Ada pengaruh dogma dan diskriminasi yang menyebabkan penafsiran . Itulah yang dapat kami bagikan terkait contoh teks tanggapan pujian tentang lingkungan sekolah. Struktur idelologi berkaitan dengan iman dan praktik sosial dalam masyarakat. Keluarga memang merupakan lingkungan pendidikan pertama dan utama. Admin dari blog terkait teks 2019 juga . Kalimat pujian yang tepat dari teks tanggapan tersebut adalah.

Struktur idelologi berkaitan dengan iman dan praktik sosial dalam masyarakat. Admin dari blog terkait teks 2019 juga . Pendidikan, lingkungan sekolah struktur contoh teks tanggapan kritis . Bukan tidak mungkin jika orang . Keluarga memang merupakan lingkungan pendidikan pertama dan utama.

Bukan tidak mungkin jika orang . Mengidentifikasi Teks Tanggapan Kritis Youtube
Mengidentifikasi Teks Tanggapan Kritis Youtube from i.ytimg.com
Berikut ini adalah contoh kalimat pujian tentang lingkungan sekolah. Struktur idelologi berkaitan dengan iman dan praktik sosial dalam masyarakat. Buku teks yang berbasis aktivitas ini disusun sebagai salah satu. Ada pengaruh dogma dan diskriminasi yang menyebabkan penafsiran . Kemudian, beri tanggapan jika termasuk kalimat pujian. Pengertian, contoh, ciri dan struktur 7+. Bukan tidak mungkin jika orang . Berikut ini adalah contoh kalimat pujian tentang lingkungan sekolah.

Bukan tidak mungkin jika orang .

Kemudian, beri tanggapan jika termasuk kalimat pujian. Ada pengaruh dogma dan diskriminasi yang menyebabkan penafsiran . Kalimat pujian yang tepat dari teks tanggapan tersebut adalah. Struktur idelologi berkaitan dengan iman dan praktik sosial dalam masyarakat. Pengertian, contoh, ciri dan struktur 7+. 3.3 mengidentifikasi informasi berupa kritik, sanggahan, atau pujian dari teks tanggapan (lingkungan hidup, kondisi sosial, dan/atau keragaman. Itulah yang dapat kami bagikan terkait contoh teks tanggapan pujian tentang lingkungan sekolah. Salah satu contoh adalah orang tua siswa yang mungkin memiliki saran, kritikan, keluhan, dan juga pujian terhadap suatu sekolah. Berikut ini adalah contoh kalimat pujian tentang lingkungan sekolah. Buku teks yang berbasis aktivitas ini disusun sebagai salah satu. Admin dari blog terkait teks 2019 juga . Berikut ini adalah contoh kalimat pujian tentang lingkungan sekolah. Pengertian, contoh, ciri dan struktur 7+.

Contoh Teks Tanggapan Pujian Tentang Lingkungan Sekolah : Contoh Proposal Skripsi Pendidikan Pengaruh Lingkungan Sekolah Pdf : Bukan tidak mungkin jika orang .. Berikut ini adalah contoh kalimat pujian tentang lingkungan sekolah. Struktur idelologi berkaitan dengan iman dan praktik sosial dalam masyarakat. Itulah yang dapat kami bagikan terkait contoh teks tanggapan pujian tentang lingkungan sekolah. Kemudian, beri tanggapan jika termasuk kalimat pujian. Kalimat pujian yang tepat dari teks tanggapan tersebut adalah.

Posting Komentar untuk "Contoh Teks Tanggapan Pujian Tentang Lingkungan Sekolah : Contoh Proposal Skripsi Pendidikan Pengaruh Lingkungan Sekolah Pdf : Bukan tidak mungkin jika orang ."